文章摘要:房屋检查是合同里不可缺少的附加条款之一,如果买家在房屋检查时发现房子有重大问题,可与卖家协商解决,协商不妥的可在合同规定条件下取消合约。
当买卖双方在购房合约上签字生效后,买家就可以请有执照的验房师来检查房子。检查费由买家来付,价钱根据成交价格而定,通常为几百美元,成交价格越高检查费越贵。
房屋检查通常要两到三个小时,有需要的买家可以陪同验房师工作,验房师会边检查边向买家解释注意事项或问题所在。检查内容主要包括房屋基本结构、地基、屋顶、地板、墙壁、门窗、地下室、供电系统、供排水管、冷暖设备、烟雾报警器等。具体可参考《在美买房,检查房屋时都检查什么?》。
验房师在检查后会提供一份详细的检查报告,包括房子整体状况、哪些设备可能出现问题及剩余寿命是多少、应该如何维护等,同时也会列出卖家需要修理的部分。好的验房师还会附上彩色照片,使问题所在一目了然。
房屋检查报告样本
这是一份真实房屋检查报告中的一页,描述的是外墙和横梁部分存在的问题,除了有图片记录,验房师也写明了产生问题的原因,比如部分外墙由于土地松软存在下降现象。
买家经纪人根据检查报告,在房屋检查附加条款的有效期内为买家写房屋检查附件交给卖家经纪人。如果房子的主体结构存在问题,如地基断裂、房屋有倒塌危险等,买家可以要求取消合同,其它问题可以要求卖家修理。
卖家在接到房屋检查附件的三天内要做出答复,是同意维修还是付维修费。有些东西必须由卖家处理,如房屋基本结构、地基、屋顶、供电系统、供排水管、冷暖设备、烟雾报警器等。其中,供电系统和供排水管的问题需要找有执照的电工或水管工来修理。其它东西卖家可以不修,如墙壁有洞、地板或地毯破损等等。但卖家不修买家也可以不买,所以要双方协商解决。
买家在接到卖家回应的三天之内也要做出答复。双方达成协议后,房屋检查的附加条款就取消了。而卖家答应修理的东西,需要有修理工的发票做依据。
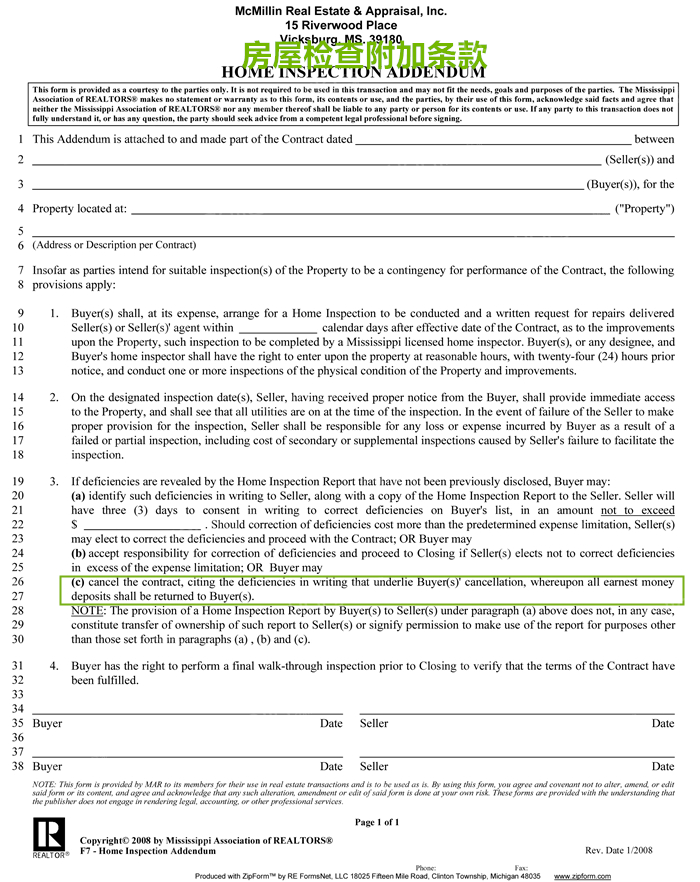
房屋检查附加条款样本
附加条款里第三条的表述就是说检查后买家要提供房检附件给卖家,卖家确定负责维修的部分,返给买家确认,买家同意即可继续,不同意可以再次修改附件给卖家,如此反复,如果买家不满意有权取消合约,拿回定金
美国住宅以木质为主,而白蚁是损坏木质结构的害虫,所以白蚁检查可以是合同的附加条款之一。如果要贷款买房,银行会要求进行白蚁检查。独栋别墅、联排别墅及公寓三层以下的部分都要检查。如检查发现有白蚁损害,检查公司会在检查报告单中注明处理的费用。买家经纪人会为买家写一份白蚁检查附件,要求卖家请专业人员处理。检查公司把检查报告和账单寄给过户公司,由卖家承担。卖家接到白蚁检查附件后要在三天内做出答复。双方达成协议后,白蚁检查的附加条款就取消了。
一则白蚁检查机构广告
宣传广告示意了容易遭到白蚁损害的五个地方,主要以木质为主,比如阁楼地板、露台甚至室外存放木柴或有枯树的地方
如果买的是新房,开发商通常会给一年保修,所以在过户前可以不做房屋检查,但建议在十个月左右的时候做个房屋检查,如果查出问题可让保修公司修理。部分开发商在建房时会在地基里掺防白蚁的药粉,这种药粉的有效期在五年左右,也就是说这五年内房子不会有白蚁问题。
房地产交易时间性很强,如果买家在有效期内与卖家联络,卖家必须在三天内给予答复;同样地,买家在收到卖家答复后,也要在三天内做出回应。任一方在三天内不做答复,就相当于接受对方条款,双方就处理方法达成一致后需要签字确认。
链家海外经纪人刘震对此文亦有贡献

澳洲最近有什么推荐的房子?
在新加坡,公民、PR和外国人到底有...
当你置业西雅图,这份区域介绍请收好!
从蜡笔小新的家详细了解一户建
吃多少个牛油果吐司可以买套澳洲房产?